This page serve as the repository for the script file I used in my LiquidBrain Youtube Video
This project is maintained by brandonyph
Introduction Visualisation is an important tool for insight generation, but it is rare that you get the data in exactly the right form you need. Often you will need to create some new variables or summaries, or maybe you just want to rename the variables or reorder the observations in order to make the data a little easier to work with.
library(nycflights13)
library(dplyr)
##
## Attaching package: 'dplyr'
## The following objects are masked from 'package:stats':
##
## filter, lag
## The following objects are masked from 'package:base':
##
## intersect, setdiff, setequal, union
To explore the basic data manipulation verbs of dplyr, we’ll use nycflights13::flights. This data frame contains all 336,776 flights that departed from New York City in 2013. The data comes from the US Bureau of Transportation Statistics, and is documented in ?flights.
dim(flights)
## [1] 336776 19
str(flights)
## tibble [336,776 x 19] (S3: tbl_df/tbl/data.frame)
## $ year : int [1:336776] 2013 2013 2013 2013 2013 2013 2013 2013 2013 2013 ...
## $ month : int [1:336776] 1 1 1 1 1 1 1 1 1 1 ...
## $ day : int [1:336776] 1 1 1 1 1 1 1 1 1 1 ...
## $ dep_time : int [1:336776] 517 533 542 544 554 554 555 557 557 558 ...
## $ sched_dep_time: int [1:336776] 515 529 540 545 600 558 600 600 600 600 ...
## $ dep_delay : num [1:336776] 2 4 2 -1 -6 -4 -5 -3 -3 -2 ...
## $ arr_time : int [1:336776] 830 850 923 1004 812 740 913 709 838 753 ...
## $ sched_arr_time: int [1:336776] 819 830 850 1022 837 728 854 723 846 745 ...
## $ arr_delay : num [1:336776] 11 20 33 -18 -25 12 19 -14 -8 8 ...
## $ carrier : chr [1:336776] "UA" "UA" "AA" "B6" ...
## $ flight : int [1:336776] 1545 1714 1141 725 461 1696 507 5708 79 301 ...
## $ tailnum : chr [1:336776] "N14228" "N24211" "N619AA" "N804JB" ...
## $ origin : chr [1:336776] "EWR" "LGA" "JFK" "JFK" ...
## $ dest : chr [1:336776] "IAH" "IAH" "MIA" "BQN" ...
## $ air_time : num [1:336776] 227 227 160 183 116 150 158 53 140 138 ...
## $ distance : num [1:336776] 1400 1416 1089 1576 762 ...
## $ hour : num [1:336776] 5 5 5 5 6 5 6 6 6 6 ...
## $ minute : num [1:336776] 15 29 40 45 0 58 0 0 0 0 ...
## $ time_hour : POSIXct[1:336776], format: "2013-01-01 05:00:00" "2013-01-01 05:00:00" ...
You might also have noticed the row of three (or four) letter abbreviations under the column names. These describe the type of each variable:
There are three other common types of variables that aren’t used in this dataset but you’ll encounter later in the book: 1. lgl stands for logical, vectors that contain only TRUE or FALSE. 2. fctr stands for factors, which R uses to represent categorical variables with fixed possible values. 3. date stands for dates.
flights <- flights
In this chapter you are going to learn the five key dplyr functions that allow you to solve the vast majority of your data manipulation challenges:
#Filter()
filter(flights, month == 1)
## # A tibble: 27,004 x 19
## year month day dep_time sched_dep_time dep_delay arr_time sched_arr_time
## <int> <int> <int> <int> <int> <dbl> <int> <int>
## 1 2013 1 1 517 515 2 830 819
## 2 2013 1 1 533 529 4 850 830
## 3 2013 1 1 542 540 2 923 850
## 4 2013 1 1 544 545 -1 1004 1022
## 5 2013 1 1 554 600 -6 812 837
## 6 2013 1 1 554 558 -4 740 728
## 7 2013 1 1 555 600 -5 913 854
## 8 2013 1 1 557 600 -3 709 723
## 9 2013 1 1 557 600 -3 838 846
## 10 2013 1 1 558 600 -2 753 745
## # ... with 26,994 more rows, and 11 more variables: arr_delay <dbl>,
## # carrier <chr>, flight <int>, tailnum <chr>, origin <chr>, dest <chr>,
## # air_time <dbl>, distance <dbl>, hour <dbl>, minute <dbl>, time_hour <dttm>
Before we go any futher, let’s introduce the pipe operator: %>%. dplyr imports this operator from another package (magrittr). This operator allows you to pipe the output from one function to the input of another function.
#filter(flights, month == 1)
#is the same as
flights %>% filter(month == 1)
## # A tibble: 27,004 x 19
## year month day dep_time sched_dep_time dep_delay arr_time sched_arr_time
## <int> <int> <int> <int> <int> <dbl> <int> <int>
## 1 2013 1 1 517 515 2 830 819
## 2 2013 1 1 533 529 4 850 830
## 3 2013 1 1 542 540 2 923 850
## 4 2013 1 1 544 545 -1 1004 1022
## 5 2013 1 1 554 600 -6 812 837
## 6 2013 1 1 554 558 -4 740 728
## 7 2013 1 1 555 600 -5 913 854
## 8 2013 1 1 557 600 -3 709 723
## 9 2013 1 1 557 600 -3 838 846
## 10 2013 1 1 558 600 -2 753 745
## # ... with 26,994 more rows, and 11 more variables: arr_delay <dbl>,
## # carrier <chr>, flight <int>, tailnum <chr>, origin <chr>, dest <chr>,
## # air_time <dbl>, distance <dbl>, hour <dbl>, minute <dbl>, time_hour <dttm>
Multiple arguments to filter() are combined with “and”: every expression must be true in order for a row to be included in the output. For other types of combinations, you’ll need to use Boolean operators yourself: & is “and”, | is “or”, and ! is “not”. Figure 5.1 shows the complete set of Boolean operations.
temp <- flights %>% filter(month == 11 | month == 12)
#or using the %in%, which select all elements in the vector afterwards
nov_dec <- filter(flights, month %in% c(11, 12))
nov_dec <- flights %>% filter(month %in% c(11, 12))
nov_dec
## # A tibble: 55,403 x 19
## year month day dep_time sched_dep_time dep_delay arr_time sched_arr_time
## <int> <int> <int> <int> <int> <dbl> <int> <int>
## 1 2013 11 1 5 2359 6 352 345
## 2 2013 11 1 35 2250 105 123 2356
## 3 2013 11 1 455 500 -5 641 651
## 4 2013 11 1 539 545 -6 856 827
## 5 2013 11 1 542 545 -3 831 855
## 6 2013 11 1 549 600 -11 912 923
## 7 2013 11 1 550 600 -10 705 659
## 8 2013 11 1 554 600 -6 659 701
## 9 2013 11 1 554 600 -6 826 827
## 10 2013 11 1 554 600 -6 749 751
## # ... with 55,393 more rows, and 11 more variables: arr_delay <dbl>,
## # carrier <chr>, flight <int>, tailnum <chr>, origin <chr>, dest <chr>,
## # air_time <dbl>, distance <dbl>, hour <dbl>, minute <dbl>, time_hour <dttm>
For example, if you wanted to find flights that weren’t delayed (on arrival or departure) by more than two hours, you could use either of the following two filters:
filter(flights, !(arr_delay > 120 | dep_delay > 120))
## # A tibble: 316,050 x 19
## year month day dep_time sched_dep_time dep_delay arr_time sched_arr_time
## <int> <int> <int> <int> <int> <dbl> <int> <int>
## 1 2013 1 1 517 515 2 830 819
## 2 2013 1 1 533 529 4 850 830
## 3 2013 1 1 542 540 2 923 850
## 4 2013 1 1 544 545 -1 1004 1022
## 5 2013 1 1 554 600 -6 812 837
## 6 2013 1 1 554 558 -4 740 728
## 7 2013 1 1 555 600 -5 913 854
## 8 2013 1 1 557 600 -3 709 723
## 9 2013 1 1 557 600 -3 838 846
## 10 2013 1 1 558 600 -2 753 745
## # ... with 316,040 more rows, and 11 more variables: arr_delay <dbl>,
## # carrier <chr>, flight <int>, tailnum <chr>, origin <chr>, dest <chr>,
## # air_time <dbl>, distance <dbl>, hour <dbl>, minute <dbl>, time_hour <dttm>
#is equal to
filter(flights, arr_delay <= 120, dep_delay <= 120)
## # A tibble: 316,050 x 19
## year month day dep_time sched_dep_time dep_delay arr_time sched_arr_time
## <int> <int> <int> <int> <int> <dbl> <int> <int>
## 1 2013 1 1 517 515 2 830 819
## 2 2013 1 1 533 529 4 850 830
## 3 2013 1 1 542 540 2 923 850
## 4 2013 1 1 544 545 -1 1004 1022
## 5 2013 1 1 554 600 -6 812 837
## 6 2013 1 1 554 558 -4 740 728
## 7 2013 1 1 555 600 -5 913 854
## 8 2013 1 1 557 600 -3 709 723
## 9 2013 1 1 557 600 -3 838 846
## 10 2013 1 1 558 600 -2 753 745
## # ... with 316,040 more rows, and 11 more variables: arr_delay <dbl>,
## # carrier <chr>, flight <int>, tailnum <chr>, origin <chr>, dest <chr>,
## # air_time <dbl>, distance <dbl>, hour <dbl>, minute <dbl>, time_hour <dttm>
Find all flights that
Had an arrival delay of two or more hours
Another useful dplyr filtering helper is between(). What does it do? Can you use it to simplify the code needed to answer the previous challenges?
How many flights have a missing dep_time? What other variables are missing? What might these rows represent?
#1. Had an arrival delay of two or more hours
# + Flew to Houston (IAH or HOU)
flights %>% filter(arr_delay >= 120, dest %in% c("IAH","HOU"))
## # A tibble: 220 x 19
## year month day dep_time sched_dep_time dep_delay arr_time sched_arr_time
## <int> <int> <int> <int> <int> <dbl> <int> <int>
## 1 2013 1 1 1114 900 134 1447 1222
## 2 2013 1 10 2137 1630 307 17 1925
## 3 2013 1 15 1603 1446 77 1957 1757
## 4 2013 1 16 1239 1043 116 1558 1340
## 5 2013 1 20 2136 1700 276 27 2011
## 6 2013 1 21 1708 1446 142 2032 1757
## 7 2013 1 25 1409 1155 134 1710 1459
## 8 2013 1 30 2312 2040 152 227 2345
## 9 2013 1 31 1837 1635 122 2241 1945
## 10 2013 1 31 2123 1856 147 49 2204
## # ... with 210 more rows, and 11 more variables: arr_delay <dbl>,
## # carrier <chr>, flight <int>, tailnum <chr>, origin <chr>, dest <chr>,
## # air_time <dbl>, distance <dbl>, hour <dbl>, minute <dbl>, time_hour <dttm>
#Were operated by United, American, or Delta #https://en.wikipedia.org/wiki/American_Airlines
flights %>% filter(arr_delay >= 120, carrier %in% c("UA","DL","AA"))
## # A tibble: 3,280 x 19
## year month day dep_time sched_dep_time dep_delay arr_time sched_arr_time
## <int> <int> <int> <int> <int> <dbl> <int> <int>
## 1 2013 1 1 957 733 144 1056 853
## 2 2013 1 1 1114 900 134 1447 1222
## 3 2013 1 1 1856 1645 131 2212 2005
## 4 2013 1 1 2205 1720 285 46 2040
## 5 2013 1 2 833 558 155 1018 727
## 6 2013 1 2 1412 838 334 1710 1147
## 7 2013 1 2 1451 1232 139 1749 1533
## 8 2013 1 2 1607 1030 337 2003 1355
## 9 2013 1 2 1751 1450 181 2041 1755
## 10 2013 1 2 2131 1512 379 2340 1741
## # ... with 3,270 more rows, and 11 more variables: arr_delay <dbl>,
## # carrier <chr>, flight <int>, tailnum <chr>, origin <chr>, dest <chr>,
## # air_time <dbl>, distance <dbl>, hour <dbl>, minute <dbl>, time_hour <dttm>
#Departed in summer (July, August, and September)
flights %>% filter(arr_delay <= 120, month %in% c(7,8,9))
## # A tibble: 81,033 x 19
## year month day dep_time sched_dep_time dep_delay arr_time sched_arr_time
## <int> <int> <int> <int> <int> <dbl> <int> <int>
## 1 2013 7 1 2 2359 3 344 344
## 2 2013 7 1 29 2245 104 151 1
## 3 2013 7 1 44 2150 174 300 100
## 4 2013 7 1 107 2245 142 158 2359
## 5 2013 7 1 111 2359 72 448 340
## 6 2013 7 1 459 500 -1 642 640
## 7 2013 7 1 538 540 -2 800 810
## 8 2013 7 1 540 540 0 841 840
## 9 2013 7 1 543 545 -2 932 921
## 10 2013 7 1 547 548 -1 903 851
## # ... with 81,023 more rows, and 11 more variables: arr_delay <dbl>,
## # carrier <chr>, flight <int>, tailnum <chr>, origin <chr>, dest <chr>,
## # air_time <dbl>, distance <dbl>, hour <dbl>, minute <dbl>, time_hour <dttm>
#Arrived more than two hours late, but didn攼㸲t leave late
flights %>% filter(arr_delay >= 120, dep_delay < 0)
## # A tibble: 26 x 19
## year month day dep_time sched_dep_time dep_delay arr_time sched_arr_time
## <int> <int> <int> <int> <int> <dbl> <int> <int>
## 1 2013 1 27 1419 1420 -1 1754 1550
## 2 2013 10 7 1357 1359 -2 1858 1654
## 3 2013 10 16 657 700 -3 1258 1056
## 4 2013 11 1 658 700 -2 1329 1015
## 5 2013 3 18 1844 1847 -3 39 2219
## 6 2013 4 17 1635 1640 -5 2049 1845
## 7 2013 4 18 558 600 -2 1149 850
## 8 2013 4 18 655 700 -5 1213 950
## 9 2013 5 22 1827 1830 -3 2217 2010
## 10 2013 6 5 1604 1615 -11 2041 1840
## # ... with 16 more rows, and 11 more variables: arr_delay <dbl>, carrier <chr>,
## # flight <int>, tailnum <chr>, origin <chr>, dest <chr>, air_time <dbl>,
## # distance <dbl>, hour <dbl>, minute <dbl>, time_hour <dttm>
# Departed between midnight and 6am (inclusive)
flights %>% filter(hour %in% c(0,1,2,3,4,5,6))
## # A tibble: 27,905 x 19
## year month day dep_time sched_dep_time dep_delay arr_time sched_arr_time
## <int> <int> <int> <int> <int> <dbl> <int> <int>
## 1 2013 1 1 517 515 2 830 819
## 2 2013 1 1 533 529 4 850 830
## 3 2013 1 1 542 540 2 923 850
## 4 2013 1 1 544 545 -1 1004 1022
## 5 2013 1 1 554 600 -6 812 837
## 6 2013 1 1 554 558 -4 740 728
## 7 2013 1 1 555 600 -5 913 854
## 8 2013 1 1 557 600 -3 709 723
## 9 2013 1 1 557 600 -3 838 846
## 10 2013 1 1 558 600 -2 753 745
## # ... with 27,895 more rows, and 11 more variables: arr_delay <dbl>,
## # carrier <chr>, flight <int>, tailnum <chr>, origin <chr>, dest <chr>,
## # air_time <dbl>, distance <dbl>, hour <dbl>, minute <dbl>, time_hour <dttm>
#2. Another useful dplyr function is between (). What does it do? Can you use it to simplify the code needed to answer the previous challenges?
flights %>% filter(between(hour,0,6))
## # A tibble: 27,905 x 19
## year month day dep_time sched_dep_time dep_delay arr_time sched_arr_time
## <int> <int> <int> <int> <int> <dbl> <int> <int>
## 1 2013 1 1 517 515 2 830 819
## 2 2013 1 1 533 529 4 850 830
## 3 2013 1 1 542 540 2 923 850
## 4 2013 1 1 544 545 -1 1004 1022
## 5 2013 1 1 554 600 -6 812 837
## 6 2013 1 1 554 558 -4 740 728
## 7 2013 1 1 555 600 -5 913 854
## 8 2013 1 1 557 600 -3 709 723
## 9 2013 1 1 557 600 -3 838 846
## 10 2013 1 1 558 600 -2 753 745
## # ... with 27,895 more rows, and 11 more variables: arr_delay <dbl>,
## # carrier <chr>, flight <int>, tailnum <chr>, origin <chr>, dest <chr>,
## # air_time <dbl>, distance <dbl>, hour <dbl>, minute <dbl>, time_hour <dttm>
#3. How many flights have a missing dep_time? What other variables are missing? What might these rows represent?
flights %>% filter(is.na(dep_time))
## # A tibble: 8,255 x 19
## year month day dep_time sched_dep_time dep_delay arr_time sched_arr_time
## <int> <int> <int> <int> <int> <dbl> <int> <int>
## 1 2013 1 1 NA 1630 NA NA 1815
## 2 2013 1 1 NA 1935 NA NA 2240
## 3 2013 1 1 NA 1500 NA NA 1825
## 4 2013 1 1 NA 600 NA NA 901
## 5 2013 1 2 NA 1540 NA NA 1747
## 6 2013 1 2 NA 1620 NA NA 1746
## 7 2013 1 2 NA 1355 NA NA 1459
## 8 2013 1 2 NA 1420 NA NA 1644
## 9 2013 1 2 NA 1321 NA NA 1536
## 10 2013 1 2 NA 1545 NA NA 1910
## # ... with 8,245 more rows, and 11 more variables: arr_delay <dbl>,
## # carrier <chr>, flight <int>, tailnum <chr>, origin <chr>, dest <chr>,
## # air_time <dbl>, distance <dbl>, hour <dbl>, minute <dbl>, time_hour <dttm>
#cancelled flight
#
Arrange() works similarly to filter() except that instead of selecting rows, it changes their order.
arrange(flights, year, month, day)
## # A tibble: 336,776 x 19
## year month day dep_time sched_dep_time dep_delay arr_time sched_arr_time
## <int> <int> <int> <int> <int> <dbl> <int> <int>
## 1 2013 1 1 517 515 2 830 819
## 2 2013 1 1 533 529 4 850 830
## 3 2013 1 1 542 540 2 923 850
## 4 2013 1 1 544 545 -1 1004 1022
## 5 2013 1 1 554 600 -6 812 837
## 6 2013 1 1 554 558 -4 740 728
## 7 2013 1 1 555 600 -5 913 854
## 8 2013 1 1 557 600 -3 709 723
## 9 2013 1 1 557 600 -3 838 846
## 10 2013 1 1 558 600 -2 753 745
## # ... with 336,766 more rows, and 11 more variables: arr_delay <dbl>,
## # carrier <chr>, flight <int>, tailnum <chr>, origin <chr>, dest <chr>,
## # air_time <dbl>, distance <dbl>, hour <dbl>, minute <dbl>, time_hour <dttm>
Use desc() to re-order by a column in descending order:
arrange(flights, desc(dep_delay))
## # A tibble: 336,776 x 19
## year month day dep_time sched_dep_time dep_delay arr_time sched_arr_time
## <int> <int> <int> <int> <int> <dbl> <int> <int>
## 1 2013 1 9 641 900 1301 1242 1530
## 2 2013 6 15 1432 1935 1137 1607 2120
## 3 2013 1 10 1121 1635 1126 1239 1810
## 4 2013 9 20 1139 1845 1014 1457 2210
## 5 2013 7 22 845 1600 1005 1044 1815
## 6 2013 4 10 1100 1900 960 1342 2211
## 7 2013 3 17 2321 810 911 135 1020
## 8 2013 6 27 959 1900 899 1236 2226
## 9 2013 7 22 2257 759 898 121 1026
## 10 2013 12 5 756 1700 896 1058 2020
## # ... with 336,766 more rows, and 11 more variables: arr_delay <dbl>,
## # carrier <chr>, flight <int>, tailnum <chr>, origin <chr>, dest <chr>,
## # air_time <dbl>, distance <dbl>, hour <dbl>, minute <dbl>, time_hour <dttm>
5.3.1 Exercises 1. How could you use arrange() to sort all missing values to the start? (Hint: use is.na()). 2. Sort flights to find the most delayed flights. Find the flights that left earliest. 3. Sort flights to find the fastest (highest speed) flights. 4. Which flights travelled the farthest? Which travelled the shortest?
#1. How could you use arrange() to sort all missing values to the start? (Hint: use is.na()).
flights %>%
arrange(desc(is.na(dep_time)),
desc(is.na(dep_delay)),
desc(is.na(arr_time)),
desc(is.na(arr_delay)),
desc(is.na(tailnum)),
desc(is.na(air_time)))
## # A tibble: 336,776 x 19
## year month day dep_time sched_dep_time dep_delay arr_time sched_arr_time
## <int> <int> <int> <int> <int> <dbl> <int> <int>
## 1 2013 1 2 NA 1545 NA NA 1910
## 2 2013 1 2 NA 1601 NA NA 1735
## 3 2013 1 3 NA 857 NA NA 1209
## 4 2013 1 3 NA 645 NA NA 952
## 5 2013 1 4 NA 845 NA NA 1015
## 6 2013 1 4 NA 1830 NA NA 2044
## 7 2013 1 5 NA 840 NA NA 1001
## 8 2013 1 7 NA 820 NA NA 958
## 9 2013 1 8 NA 1645 NA NA 1838
## 10 2013 1 9 NA 755 NA NA 1012
## # ... with 336,766 more rows, and 11 more variables: arr_delay <dbl>,
## # carrier <chr>, flight <int>, tailnum <chr>, origin <chr>, dest <chr>,
## # air_time <dbl>, distance <dbl>, hour <dbl>, minute <dbl>, time_hour <dttm>
#2. Sort flights to find the most delayed flights. Find the flights that left earliest.
flights %>%
arrange(desc(dep_delay))
## # A tibble: 336,776 x 19
## year month day dep_time sched_dep_time dep_delay arr_time sched_arr_time
## <int> <int> <int> <int> <int> <dbl> <int> <int>
## 1 2013 1 9 641 900 1301 1242 1530
## 2 2013 6 15 1432 1935 1137 1607 2120
## 3 2013 1 10 1121 1635 1126 1239 1810
## 4 2013 9 20 1139 1845 1014 1457 2210
## 5 2013 7 22 845 1600 1005 1044 1815
## 6 2013 4 10 1100 1900 960 1342 2211
## 7 2013 3 17 2321 810 911 135 1020
## 8 2013 6 27 959 1900 899 1236 2226
## 9 2013 7 22 2257 759 898 121 1026
## 10 2013 12 5 756 1700 896 1058 2020
## # ... with 336,766 more rows, and 11 more variables: arr_delay <dbl>,
## # carrier <chr>, flight <int>, tailnum <chr>, origin <chr>, dest <chr>,
## # air_time <dbl>, distance <dbl>, hour <dbl>, minute <dbl>, time_hour <dttm>
flights %>%
arrange(hour,minute)
## # A tibble: 336,776 x 19
## year month day dep_time sched_dep_time dep_delay arr_time sched_arr_time
## <int> <int> <int> <int> <int> <dbl> <int> <int>
## 1 2013 7 27 NA 106 NA NA 245
## 2 2013 1 2 458 500 -2 703 650
## 3 2013 1 3 458 500 -2 650 650
## 4 2013 1 4 456 500 -4 631 650
## 5 2013 1 5 458 500 -2 640 650
## 6 2013 1 6 458 500 -2 718 650
## 7 2013 1 7 454 500 -6 637 648
## 8 2013 1 8 454 500 -6 625 648
## 9 2013 1 9 457 500 -3 647 648
## 10 2013 1 10 450 500 -10 634 648
## # ... with 336,766 more rows, and 11 more variables: arr_delay <dbl>,
## # carrier <chr>, flight <int>, tailnum <chr>, origin <chr>, dest <chr>,
## # air_time <dbl>, distance <dbl>, hour <dbl>, minute <dbl>, time_hour <dttm>
#3. Sort flights to find the fastest (highest speed) flights.
flights %>%
arrange(desc(distance/air_time))
## # A tibble: 336,776 x 19
## year month day dep_time sched_dep_time dep_delay arr_time sched_arr_time
## <int> <int> <int> <int> <int> <dbl> <int> <int>
## 1 2013 5 25 1709 1700 9 1923 1937
## 2 2013 7 2 1558 1513 45 1745 1719
## 3 2013 5 13 2040 2025 15 2225 2226
## 4 2013 3 23 1914 1910 4 2045 2043
## 5 2013 1 12 1559 1600 -1 1849 1917
## 6 2013 11 17 650 655 -5 1059 1150
## 7 2013 2 21 2355 2358 -3 412 438
## 8 2013 11 17 759 800 -1 1212 1255
## 9 2013 11 16 2003 1925 38 17 36
## 10 2013 11 16 2349 2359 -10 402 440
## # ... with 336,766 more rows, and 11 more variables: arr_delay <dbl>,
## # carrier <chr>, flight <int>, tailnum <chr>, origin <chr>, dest <chr>,
## # air_time <dbl>, distance <dbl>, hour <dbl>, minute <dbl>, time_hour <dttm>
#4.Which flights travelled the farthest? Which travelled the shortest?
flights %>%
arrange(distance)
## # A tibble: 336,776 x 19
## year month day dep_time sched_dep_time dep_delay arr_time sched_arr_time
## <int> <int> <int> <int> <int> <dbl> <int> <int>
## 1 2013 7 27 NA 106 NA NA 245
## 2 2013 1 3 2127 2129 -2 2222 2224
## 3 2013 1 4 1240 1200 40 1333 1306
## 4 2013 1 4 1829 1615 134 1937 1721
## 5 2013 1 4 2128 2129 -1 2218 2224
## 6 2013 1 5 1155 1200 -5 1241 1306
## 7 2013 1 6 2125 2129 -4 2224 2224
## 8 2013 1 7 2124 2129 -5 2212 2224
## 9 2013 1 8 2127 2130 -3 2304 2225
## 10 2013 1 9 2126 2129 -3 2217 2224
## # ... with 336,766 more rows, and 11 more variables: arr_delay <dbl>,
## # carrier <chr>, flight <int>, tailnum <chr>, origin <chr>, dest <chr>,
## # air_time <dbl>, distance <dbl>, hour <dbl>, minute <dbl>, time_hour <dttm>
flights %>%
arrange(desc(distance))
## # A tibble: 336,776 x 19
## year month day dep_time sched_dep_time dep_delay arr_time sched_arr_time
## <int> <int> <int> <int> <int> <dbl> <int> <int>
## 1 2013 1 1 857 900 -3 1516 1530
## 2 2013 1 2 909 900 9 1525 1530
## 3 2013 1 3 914 900 14 1504 1530
## 4 2013 1 4 900 900 0 1516 1530
## 5 2013 1 5 858 900 -2 1519 1530
## 6 2013 1 6 1019 900 79 1558 1530
## 7 2013 1 7 1042 900 102 1620 1530
## 8 2013 1 8 901 900 1 1504 1530
## 9 2013 1 9 641 900 1301 1242 1530
## 10 2013 1 10 859 900 -1 1449 1530
## # ... with 336,766 more rows, and 11 more variables: arr_delay <dbl>,
## # carrier <chr>, flight <int>, tailnum <chr>, origin <chr>, dest <chr>,
## # air_time <dbl>, distance <dbl>, hour <dbl>, minute <dbl>, time_hour <dttm>
#
Select columns with select() select() allows you to rapidly zoom in on a useful subset using operations based on the names of the variables.
select(flights, year, month, day)
## # A tibble: 336,776 x 3
## year month day
## <int> <int> <int>
## 1 2013 1 1
## 2 2013 1 1
## 3 2013 1 1
## 4 2013 1 1
## 5 2013 1 1
## 6 2013 1 1
## 7 2013 1 1
## 8 2013 1 1
## 9 2013 1 1
## 10 2013 1 1
## # ... with 336,766 more rows
flights %>% select(year, month, day)
## # A tibble: 336,776 x 3
## year month day
## <int> <int> <int>
## 1 2013 1 1
## 2 2013 1 1
## 3 2013 1 1
## 4 2013 1 1
## 5 2013 1 1
## 6 2013 1 1
## 7 2013 1 1
## 8 2013 1 1
## 9 2013 1 1
## 10 2013 1 1
## # ... with 336,766 more rows
select(flights, year:day)
## # A tibble: 336,776 x 3
## year month day
## <int> <int> <int>
## 1 2013 1 1
## 2 2013 1 1
## 3 2013 1 1
## 4 2013 1 1
## 5 2013 1 1
## 6 2013 1 1
## 7 2013 1 1
## 8 2013 1 1
## 9 2013 1 1
## 10 2013 1 1
## # ... with 336,766 more rows
select(flights, -(year:day))
## # A tibble: 336,776 x 16
## dep_time sched_dep_time dep_delay arr_time sched_arr_time arr_delay carrier
## <int> <int> <dbl> <int> <int> <dbl> <chr>
## 1 517 515 2 830 819 11 UA
## 2 533 529 4 850 830 20 UA
## 3 542 540 2 923 850 33 AA
## 4 544 545 -1 1004 1022 -18 B6
## 5 554 600 -6 812 837 -25 DL
## 6 554 558 -4 740 728 12 UA
## 7 555 600 -5 913 854 19 B6
## 8 557 600 -3 709 723 -14 EV
## 9 557 600 -3 838 846 -8 B6
## 10 558 600 -2 753 745 8 AA
## # ... with 336,766 more rows, and 9 more variables: flight <int>,
## # tailnum <chr>, origin <chr>, dest <chr>, air_time <dbl>, distance <dbl>,
## # hour <dbl>, minute <dbl>, time_hour <dttm>
There are a number of helper functions you can use within select():
rename(flights, tail_num = tailnum)
## # A tibble: 336,776 x 19
## year month day dep_time sched_dep_time dep_delay arr_time sched_arr_time
## <int> <int> <int> <int> <int> <dbl> <int> <int>
## 1 2013 1 1 517 515 2 830 819
## 2 2013 1 1 533 529 4 850 830
## 3 2013 1 1 542 540 2 923 850
## 4 2013 1 1 544 545 -1 1004 1022
## 5 2013 1 1 554 600 -6 812 837
## 6 2013 1 1 554 558 -4 740 728
## 7 2013 1 1 555 600 -5 913 854
## 8 2013 1 1 557 600 -3 709 723
## 9 2013 1 1 557 600 -3 838 846
## 10 2013 1 1 558 600 -2 753 745
## # ... with 336,766 more rows, and 11 more variables: arr_delay <dbl>,
## # carrier <chr>, flight <int>, tail_num <chr>, origin <chr>, dest <chr>,
## # air_time <dbl>, distance <dbl>, hour <dbl>, minute <dbl>, time_hour <dttm>
select(flights, time_hour, air_time, everything())
## # A tibble: 336,776 x 19
## time_hour air_time year month day dep_time sched_dep_time
## <dttm> <dbl> <int> <int> <int> <int> <int>
## 1 2013-01-01 05:00:00 227 2013 1 1 517 515
## 2 2013-01-01 05:00:00 227 2013 1 1 533 529
## 3 2013-01-01 05:00:00 160 2013 1 1 542 540
## 4 2013-01-01 05:00:00 183 2013 1 1 544 545
## 5 2013-01-01 06:00:00 116 2013 1 1 554 600
## 6 2013-01-01 05:00:00 150 2013 1 1 554 558
## 7 2013-01-01 06:00:00 158 2013 1 1 555 600
## 8 2013-01-01 06:00:00 53 2013 1 1 557 600
## 9 2013-01-01 06:00:00 140 2013 1 1 557 600
## 10 2013-01-01 06:00:00 138 2013 1 1 558 600
## # ... with 336,766 more rows, and 12 more variables: dep_delay <dbl>,
## # arr_time <int>, sched_arr_time <int>, arr_delay <dbl>, carrier <chr>,
## # flight <int>, tailnum <chr>, origin <chr>, dest <chr>, distance <dbl>,
## # hour <dbl>, minute <dbl>
Exercise 1. Brainstorm as many ways as possible to select dep_time, dep_delay, arr_time, and arr_delay from
What happens if you include the name of a variable multiple times in a select() call?
What does the one_of() function do? Why might it be helpful in conjunction with this vector?
4 in this code “select(flights, contains(”TIME“))” + How do the select helpers deal with case by default? How can you change that default?
#1. Brainstorm as many ways as possible to select dep_time, dep_delay, arr_time, and arr_delay from
flights %>% select(dep_time, dep_delay, arr_time, arr_delay)
## # A tibble: 336,776 x 4
## dep_time dep_delay arr_time arr_delay
## <int> <dbl> <int> <dbl>
## 1 517 2 830 11
## 2 533 4 850 20
## 3 542 2 923 33
## 4 544 -1 1004 -18
## 5 554 -6 812 -25
## 6 554 -4 740 12
## 7 555 -5 913 19
## 8 557 -3 709 -14
## 9 557 -3 838 -8
## 10 558 -2 753 8
## # ... with 336,766 more rows
flights %>% select(starts_with("dep") | starts_with("arr"))
## # A tibble: 336,776 x 4
## dep_time dep_delay arr_time arr_delay
## <int> <dbl> <int> <dbl>
## 1 517 2 830 11
## 2 533 4 850 20
## 3 542 2 923 33
## 4 544 -1 1004 -18
## 5 554 -6 812 -25
## 6 554 -4 740 12
## 7 555 -5 913 19
## 8 557 -3 709 -14
## 9 557 -3 838 -8
## 10 558 -2 753 8
## # ... with 336,766 more rows
flights %>% select(contains("_time") | contains("_delay"))
## # A tibble: 336,776 x 7
## dep_time sched_dep_time arr_time sched_arr_time air_time dep_delay arr_delay
## <int> <int> <int> <int> <dbl> <dbl> <dbl>
## 1 517 515 830 819 227 2 11
## 2 533 529 850 830 227 4 20
## 3 542 540 923 850 160 2 33
## 4 544 545 1004 1022 183 -1 -18
## 5 554 600 812 837 116 -6 -25
## 6 554 558 740 728 150 -4 12
## 7 555 600 913 854 158 -5 19
## 8 557 600 709 723 53 -3 -14
## 9 557 600 838 846 140 -3 -8
## 10 558 600 753 745 138 -2 8
## # ... with 336,766 more rows
# 2. What happens if you include the name of a variable multiple times in a select() call?
# flights %>% select(dep_time, dep_time, dep_time, dep_time)
#3. What does the one_of() function do? Why might it be helpful in conjunction with this vector?
vars <- c("year", "month", "day", "dep_delay", "arr_delay","nonsense")
flights %>% select(one_of(vars))
## Warning: Unknown columns: `nonsense`
## # A tibble: 336,776 x 5
## year month day dep_delay arr_delay
## <int> <int> <int> <dbl> <dbl>
## 1 2013 1 1 2 11
## 2 2013 1 1 4 20
## 3 2013 1 1 2 33
## 4 2013 1 1 -1 -18
## 5 2013 1 1 -6 -25
## 6 2013 1 1 -4 12
## 7 2013 1 1 -5 19
## 8 2013 1 1 -3 -14
## 9 2013 1 1 -3 -8
## 10 2013 1 1 -2 8
## # ... with 336,766 more rows
# How do the select helpers deal with case by default? How can you change that default?
flights %>% select(contains("DEP"))
## # A tibble: 336,776 x 3
## dep_time sched_dep_time dep_delay
## <int> <int> <dbl>
## 1 517 515 2
## 2 533 529 4
## 3 542 540 2
## 4 544 545 -1
## 5 554 600 -6
## 6 554 558 -4
## 7 555 600 -5
## 8 557 600 -3
## 9 557 600 -3
## 10 558 600 -2
## # ... with 336,766 more rows
#
Add new variables with mutate() it’s often useful to add new columns that are functions of existing columns. That’s the job of mutate(). mutate() always adds new columns at the end of your dataset so we’ll start by creating a narrower dataset so we can see the new variables.
flights <- nycflights13::flights
flights %>% mutate(new_col = hour*2)
## # A tibble: 336,776 x 20
## year month day dep_time sched_dep_time dep_delay arr_time sched_arr_time
## <int> <int> <int> <int> <int> <dbl> <int> <int>
## 1 2013 1 1 517 515 2 830 819
## 2 2013 1 1 533 529 4 850 830
## 3 2013 1 1 542 540 2 923 850
## 4 2013 1 1 544 545 -1 1004 1022
## 5 2013 1 1 554 600 -6 812 837
## 6 2013 1 1 554 558 -4 740 728
## 7 2013 1 1 555 600 -5 913 854
## 8 2013 1 1 557 600 -3 709 723
## 9 2013 1 1 557 600 -3 838 846
## 10 2013 1 1 558 600 -2 753 745
## # ... with 336,766 more rows, and 12 more variables: arr_delay <dbl>,
## # carrier <chr>, flight <int>, tailnum <chr>, origin <chr>, dest <chr>,
## # air_time <dbl>, distance <dbl>, hour <dbl>, minute <dbl>, time_hour <dttm>,
## # new_col <dbl>
##################################################
flights_sml <- select(flights,
year:day,
ends_with("delay"),
distance,
air_time
)
mutate(flights_sml,
gain = dep_delay - arr_delay,
speed = distance / air_time * 60
)
## # A tibble: 336,776 x 9
## year month day dep_delay arr_delay distance air_time gain speed
## <int> <int> <int> <dbl> <dbl> <dbl> <dbl> <dbl> <dbl>
## 1 2013 1 1 2 11 1400 227 -9 370.
## 2 2013 1 1 4 20 1416 227 -16 374.
## 3 2013 1 1 2 33 1089 160 -31 408.
## 4 2013 1 1 -1 -18 1576 183 17 517.
## 5 2013 1 1 -6 -25 762 116 19 394.
## 6 2013 1 1 -4 12 719 150 -16 288.
## 7 2013 1 1 -5 19 1065 158 -24 404.
## 8 2013 1 1 -3 -14 229 53 11 259.
## 9 2013 1 1 -3 -8 944 140 5 405.
## 10 2013 1 1 -2 8 733 138 -10 319.
## # ... with 336,766 more rows
######################################
flights %>% select( year:day,
ends_with("delay"),
distance,
air_time
) %>%
mutate(
gain = dep_delay - arr_delay,
speed = distance / air_time * 60
)
## # A tibble: 336,776 x 9
## year month day dep_delay arr_delay distance air_time gain speed
## <int> <int> <int> <dbl> <dbl> <dbl> <dbl> <dbl> <dbl>
## 1 2013 1 1 2 11 1400 227 -9 370.
## 2 2013 1 1 4 20 1416 227 -16 374.
## 3 2013 1 1 2 33 1089 160 -31 408.
## 4 2013 1 1 -1 -18 1576 183 17 517.
## 5 2013 1 1 -6 -25 762 116 19 394.
## 6 2013 1 1 -4 12 719 150 -16 288.
## 7 2013 1 1 -5 19 1065 158 -24 404.
## 8 2013 1 1 -3 -14 229 53 11 259.
## 9 2013 1 1 -3 -8 944 140 5 405.
## 10 2013 1 1 -2 8 733 138 -10 319.
## # ... with 336,766 more rows
flights <- nycflights13::flights
flights %>% mutate(
new_hour = dep_time %/% 100,
new_minute = dep_time %% 100
)
## # A tibble: 336,776 x 21
## year month day dep_time sched_dep_time dep_delay arr_time sched_arr_time
## <int> <int> <int> <int> <int> <dbl> <int> <int>
## 1 2013 1 1 517 515 2 830 819
## 2 2013 1 1 533 529 4 850 830
## 3 2013 1 1 542 540 2 923 850
## 4 2013 1 1 544 545 -1 1004 1022
## 5 2013 1 1 554 600 -6 812 837
## 6 2013 1 1 554 558 -4 740 728
## 7 2013 1 1 555 600 -5 913 854
## 8 2013 1 1 557 600 -3 709 723
## 9 2013 1 1 557 600 -3 838 846
## 10 2013 1 1 558 600 -2 753 745
## # ... with 336,766 more rows, and 13 more variables: arr_delay <dbl>,
## # carrier <chr>, flight <int>, tailnum <chr>, origin <chr>, dest <chr>,
## # air_time <dbl>, distance <dbl>, hour <dbl>, minute <dbl>, time_hour <dttm>,
## # new_hour <dbl>, new_minute <dbl>
flights %>% transmute(
new_hour = dep_time %/% 100,
new_minute = dep_time %% 100
)
## # A tibble: 336,776 x 2
## new_hour new_minute
## <dbl> <dbl>
## 1 5 17
## 2 5 33
## 3 5 42
## 4 5 44
## 5 5 54
## 6 5 54
## 7 5 55
## 8 5 57
## 9 5 57
## 10 5 58
## # ... with 336,766 more rows
Exercises 1. Currently dep_time and sched_dep_time are convenient to look at, but hard to compute with because they’re not really continuous numbers. Convert them to a more convenient representation of number of minutes since midnight. 2. Compare air_time with arr_time - dep_time. What do you expect to see? What do you see? What do you need to do to fix it? 3. Compare dep_time, sched_dep_time, and dep_delay. How would you expect those three numbers to be related? 4. Find the 10 most delayed flights using a ranking function. How do you want to handle ties? Carefully read the documentation for min_rank().
#1. Currently dep_time and sched_dep_time are convenient to look at, but hard to compute with because they’re not really continuous numbers. Convert them to a more convenient representation of "number of minutes since midnight".
flights <- nycflights13::flights
flights %>% mutate(
dep_time_new = (dep_time %/% 100) * 60 + (dep_time %% 100), #517 (5*60+17) =
sched_dep_time_new = (sched_dep_time %/% 100) * 60 + (sched_dep_time %% 100)
)
## # A tibble: 336,776 x 21
## year month day dep_time sched_dep_time dep_delay arr_time sched_arr_time
## <int> <int> <int> <int> <int> <dbl> <int> <int>
## 1 2013 1 1 517 515 2 830 819
## 2 2013 1 1 533 529 4 850 830
## 3 2013 1 1 542 540 2 923 850
## 4 2013 1 1 544 545 -1 1004 1022
## 5 2013 1 1 554 600 -6 812 837
## 6 2013 1 1 554 558 -4 740 728
## 7 2013 1 1 555 600 -5 913 854
## 8 2013 1 1 557 600 -3 709 723
## 9 2013 1 1 557 600 -3 838 846
## 10 2013 1 1 558 600 -2 753 745
## # ... with 336,766 more rows, and 13 more variables: arr_delay <dbl>,
## # carrier <chr>, flight <int>, tailnum <chr>, origin <chr>, dest <chr>,
## # air_time <dbl>, distance <dbl>, hour <dbl>, minute <dbl>, time_hour <dttm>,
## # dep_time_new <dbl>, sched_dep_time_new <dbl>
#or if you want to replace the content of the current columns
flights %>% mutate(
dep_time = (dep_time %/% 100) * 60 + (dep_time %% 100), #517 (5*60+17)
sched_dep_time = (sched_dep_time %/% 100) * 60 + (sched_dep_time %% 100)
)
## # A tibble: 336,776 x 19
## year month day dep_time sched_dep_time dep_delay arr_time sched_arr_time
## <int> <int> <int> <dbl> <dbl> <dbl> <int> <int>
## 1 2013 1 1 317 315 2 830 819
## 2 2013 1 1 333 329 4 850 830
## 3 2013 1 1 342 340 2 923 850
## 4 2013 1 1 344 345 -1 1004 1022
## 5 2013 1 1 354 360 -6 812 837
## 6 2013 1 1 354 358 -4 740 728
## 7 2013 1 1 355 360 -5 913 854
## 8 2013 1 1 357 360 -3 709 723
## 9 2013 1 1 357 360 -3 838 846
## 10 2013 1 1 358 360 -2 753 745
## # ... with 336,766 more rows, and 11 more variables: arr_delay <dbl>,
## # carrier <chr>, flight <int>, tailnum <chr>, origin <chr>, dest <chr>,
## # air_time <dbl>, distance <dbl>, hour <dbl>, minute <dbl>, time_hour <dttm>
### 2. Compare `air_time` with `arr_time - dep_time`. What do you expect to see?
### What do you see? What do you need to do to fix it?
flights <- nycflights13::flights
flights %>%
mutate(dep_time = (dep_time %/% 100) * 60 + (dep_time %% 100),
sched_dep_time = (sched_dep_time %/% 100) * 60 + (sched_dep_time %% 100),
arr_time = (arr_time %/% 100) * 60 + (arr_time %% 100),
sched_arr_time = (sched_arr_time %/% 100) * 60 + (sched_arr_time %% 100)) %>%
transmute((arr_time - dep_time) ,
air_time ,
(arr_time - dep_time) - air_time)
## # A tibble: 336,776 x 3
## `(arr_time - dep_time)` air_time `(arr_time - dep_time) - air_time`
## <dbl> <dbl> <dbl>
## 1 193 227 -34
## 2 197 227 -30
## 3 221 160 61
## 4 260 183 77
## 5 138 116 22
## 6 106 150 -44
## 7 198 158 40
## 8 72 53 19
## 9 161 140 21
## 10 115 138 -23
## # ... with 336,766 more rows
### 3. Compare `dep_time`, `sched_dep_time`, and `dep_delay`. How would you expect those three numbers to be related?
#near() documentation https://www.rdocumentation.org/packages/dplyr/versions/0.7.8/topics/near
flights <- nycflights13::flights
all <- flights %>%
mutate(dep_time = (dep_time %/% 100) * 60 + (dep_time %% 100),
sched_dep_time = (sched_dep_time %/% 100) * 60 + (sched_dep_time %% 100),
arr_time = (arr_time %/% 100) * 60 + (arr_time %% 100),
sched_arr_time = (sched_arr_time %/% 100) * 60 + (sched_arr_time %% 100)) %>%
transmute(compare = near((sched_dep_time + dep_delay) %% (60*24), dep_time, tol=1))
(1 - nrow(all[all$compare==FALSE,]) / nrow(all))*100
## [1] 97.5402
#or
library(ggplot2)
flights %>% mutate(dep_time = (dep_time %/% 100) * 60 + (dep_time %% 100),
sched_dep_time = (sched_dep_time %/% 100) * 60 + (sched_dep_time %% 100),
arr_time = (arr_time %/% 100) * 60 + (arr_time %% 100),
sched_arr_time = (sched_arr_time %/% 100) * 60 + (sched_arr_time %% 100)) %>%
filter((sched_dep_time + dep_delay) < 1440) %>%
ggplot() +
geom_point(aes(x=(sched_dep_time+ dep_delay), y=dep_time ))

### 4. Find the 10 most delayed flights using a ranking function. How do you want to handle ties? Carefully read the documentation for min_rank(). http://www.datasciencemadesimple.com/windows-function-in-r-using-dplyr/
flights <- nycflights13::flights
####desc() https://www.rdocumentation.org/packages/dplyr/versions/0.7.8/topics/desc
#Transform a vector into a format that will be sorted in descending order.
desc(1:10)
## [1] -1 -2 -3 -4 -5 -6 -7 -8 -9 -10
desc(c(10,9,8,7,6,5,4,3,2,1))
## [1] -10 -9 -8 -7 -6 -5 -4 -3 -2 -1
min_rank(desc(c(10,9,8,7,6,5,4,3,2,1)))
## [1] 1 2 3 4 5 6 7 8 9 10
min_rank(desc(c(10,8,8,8,6,5,4,3,2,1)))
## [1] 1 2 2 2 5 6 7 8 9 10
####min_rank() https://dplyr.tidyverse.org/reference/ranking.html
head(min_rank(desc(flights$dep_delay)),10)
## [1] 114150 103893 114150 144947 258934 209494 234113 185276 185276 163760
#Now to answer the questions
#top_n() This is a convenient wrapper that uses filter() and min_rank() to select the top or bottom entries in each group, ordered by wt.
flights %>%
mutate(rank = min_rank(desc(dep_delay))) %>%
filter(min_rank(desc(dep_delay))<=10) %>%
arrange(desc(dep_delay))
## # A tibble: 10 x 20
## year month day dep_time sched_dep_time dep_delay arr_time sched_arr_time
## <int> <int> <int> <int> <int> <dbl> <int> <int>
## 1 2013 1 9 641 900 1301 1242 1530
## 2 2013 6 15 1432 1935 1137 1607 2120
## 3 2013 1 10 1121 1635 1126 1239 1810
## 4 2013 9 20 1139 1845 1014 1457 2210
## 5 2013 7 22 845 1600 1005 1044 1815
## 6 2013 4 10 1100 1900 960 1342 2211
## 7 2013 3 17 2321 810 911 135 1020
## 8 2013 6 27 959 1900 899 1236 2226
## 9 2013 7 22 2257 759 898 121 1026
## 10 2013 12 5 756 1700 896 1058 2020
## # ... with 12 more variables: arr_delay <dbl>, carrier <chr>, flight <int>,
## # tailnum <chr>, origin <chr>, dest <chr>, air_time <dbl>, distance <dbl>,
## # hour <dbl>, minute <dbl>, time_hour <dttm>, rank <int>
#
The last key verb is summarise(). It collapses a data frame to a single row:
summarise(flights, delay = mean(dep_delay, na.rm = TRUE))
## # A tibble: 1 x 1
## delay
## <dbl>
## 1 12.6
#is the same as
flights %>% summarise(delay = mean(dep_delay, na.rm = TRUE))
## # A tibble: 1 x 1
## delay
## <dbl>
## 1 12.6
by_day <- group_by(flights, year, month, day)
summarise(by_day, delay = mean(dep_delay, na.rm = TRUE))
## `summarise()` regrouping output by 'year', 'month' (override with `.groups` argument)
## # A tibble: 365 x 4
## # Groups: year, month [12]
## year month day delay
## <int> <int> <int> <dbl>
## 1 2013 1 1 11.5
## 2 2013 1 2 13.9
## 3 2013 1 3 11.0
## 4 2013 1 4 8.95
## 5 2013 1 5 5.73
## 6 2013 1 6 7.15
## 7 2013 1 7 5.42
## 8 2013 1 8 2.55
## 9 2013 1 9 2.28
## 10 2013 1 10 2.84
## # ... with 355 more rows
#############
flights %>% group_by(year, month, day) %>%
summarise(delay = mean(dep_delay, na.rm = TRUE))
## `summarise()` regrouping output by 'year', 'month' (override with `.groups` argument)
## # A tibble: 365 x 4
## # Groups: year, month [12]
## year month day delay
## <int> <int> <int> <dbl>
## 1 2013 1 1 11.5
## 2 2013 1 2 13.9
## 3 2013 1 3 11.0
## 4 2013 1 4 8.95
## 5 2013 1 5 5.73
## 6 2013 1 6 7.15
## 7 2013 1 7 5.42
## 8 2013 1 8 2.55
## 9 2013 1 9 2.28
## 10 2013 1 10 2.84
## # ... with 355 more rows
flights %>% summarise(delay = mean(dep_delay, na.rm = TRUE))
## # A tibble: 1 x 1
## delay
## <dbl>
## 1 12.6
delays <- flights %>%
group_by(dest) %>%
summarise(
count = n(),
dist = mean(distance, na.rm = TRUE),
delay = mean(arr_delay, na.rm = TRUE)
) %>%
filter(count > 20, dest != "HNL")
## `summarise()` ungrouping output (override with `.groups` argument)
# It looks like delays increase with distance up to ~750 miles
# and then decrease. Maybe as flights get longer there's more
# ability to make up delays in the air?
ggplot(data = delays, mapping = aes(x = dist, y = delay)) +
geom_point(aes(size = count), alpha = 1/3) +
geom_smooth(se = FALSE)
## `geom_smooth()` using method = 'loess' and formula 'y ~ x'

#> `geom_smooth()` using method = 'loess' and formula 'y ~ x'
There are three steps to prepare this data:
#na removal
flights %>%
group_by(year, month, day) %>%
summarise(mean = mean(dep_delay))
## `summarise()` regrouping output by 'year', 'month' (override with `.groups` argument)
## # A tibble: 365 x 4
## # Groups: year, month [12]
## year month day mean
## <int> <int> <int> <dbl>
## 1 2013 1 1 NA
## 2 2013 1 2 NA
## 3 2013 1 3 NA
## 4 2013 1 4 NA
## 5 2013 1 5 NA
## 6 2013 1 6 NA
## 7 2013 1 7 NA
## 8 2013 1 8 NA
## 9 2013 1 9 NA
## 10 2013 1 10 NA
## # ... with 355 more rows
flights %>%
group_by(year, month, day) %>%
summarise(mean = mean(dep_delay, na.rm = TRUE))
## `summarise()` regrouping output by 'year', 'month' (override with `.groups` argument)
## # A tibble: 365 x 4
## # Groups: year, month [12]
## year month day mean
## <int> <int> <int> <dbl>
## 1 2013 1 1 11.5
## 2 2013 1 2 13.9
## 3 2013 1 3 11.0
## 4 2013 1 4 8.95
## 5 2013 1 5 5.73
## 6 2013 1 6 7.15
## 7 2013 1 7 5.42
## 8 2013 1 8 2.55
## 9 2013 1 9 2.28
## 10 2013 1 10 2.84
## # ... with 355 more rows
not_cancelled <- flights %>%
filter(!is.na(dep_delay), !is.na(arr_delay))
not_cancelled %>%
group_by(year, month, day) %>%
summarise(mean = mean(dep_delay))
## `summarise()` regrouping output by 'year', 'month' (override with `.groups` argument)
## # A tibble: 365 x 4
## # Groups: year, month [12]
## year month day mean
## <int> <int> <int> <dbl>
## 1 2013 1 1 11.4
## 2 2013 1 2 13.7
## 3 2013 1 3 10.9
## 4 2013 1 4 8.97
## 5 2013 1 5 5.73
## 6 2013 1 6 7.15
## 7 2013 1 7 5.42
## 8 2013 1 8 2.56
## 9 2013 1 9 2.30
## 10 2013 1 10 2.84
## # ... with 355 more rows
delays <- not_cancelled %>%
group_by(tailnum) %>%
summarise(
delay = mean(arr_delay)
)
## `summarise()` ungrouping output (override with `.groups` argument)
ggplot(data = delays, mapping = aes(x = delay)) +
geom_freqpoly(binwidth = 10)

delays <- not_cancelled %>%
group_by(tailnum) %>%
summarise(
delay = mean(arr_delay, na.rm = TRUE),
n = n()
)
## `summarise()` ungrouping output (override with `.groups` argument)
ggplot(data = delays, mapping = aes(x = n, y = delay)) +
geom_jitter(alpha = 0.1)

Just using means, counts, and sum can get you a long way, but R provides many other useful summary functions:
not_cancelled %>%
group_by(year, month, day) %>%
summarise(
avg_delay1 = mean(arr_delay),
avg_delay2 = mean(arr_delay[arr_delay > 0]) # the average positive delay
)
## `summarise()` regrouping output by 'year', 'month' (override with `.groups` argument)
## # A tibble: 365 x 5
## # Groups: year, month [12]
## year month day avg_delay1 avg_delay2
## <int> <int> <int> <dbl> <dbl>
## 1 2013 1 1 12.7 32.5
## 2 2013 1 2 12.7 32.0
## 3 2013 1 3 5.73 27.7
## 4 2013 1 4 -1.93 28.3
## 5 2013 1 5 -1.53 22.6
## 6 2013 1 6 4.24 24.4
## 7 2013 1 7 -4.95 27.8
## 8 2013 1 8 -3.23 20.8
## 9 2013 1 9 -0.264 25.6
## 10 2013 1 10 -5.90 27.3
## # ... with 355 more rows
# Why is distance to some destinations more variable than to others?
not_cancelled %>%
group_by(dest) %>%
summarise(distance_sd = sd(distance)) %>%
arrange(desc(distance_sd))
## `summarise()` ungrouping output (override with `.groups` argument)
## # A tibble: 104 x 2
## dest distance_sd
## <chr> <dbl>
## 1 EGE 10.5
## 2 SAN 10.4
## 3 SFO 10.2
## 4 HNL 10.0
## 5 SEA 9.98
## 6 LAS 9.91
## 7 PDX 9.87
## 8 PHX 9.86
## 9 LAX 9.66
## 10 IND 9.46
## # ... with 94 more rows
# When do the first and last flights leave each day?
not_cancelled %>%
group_by(year, month, day) %>%
summarise(
first = min(dep_time),
last = max(dep_time)
)
## `summarise()` regrouping output by 'year', 'month' (override with `.groups` argument)
## # A tibble: 365 x 5
## # Groups: year, month [12]
## year month day first last
## <int> <int> <int> <int> <int>
## 1 2013 1 1 517 2356
## 2 2013 1 2 42 2354
## 3 2013 1 3 32 2349
## 4 2013 1 4 25 2358
## 5 2013 1 5 14 2357
## 6 2013 1 6 16 2355
## 7 2013 1 7 49 2359
## 8 2013 1 8 454 2351
## 9 2013 1 9 2 2252
## 10 2013 1 10 3 2320
## # ... with 355 more rows
When you group by multiple variables, each summary peels off one level of the grouping. That makes it easy to progressively roll up a dataset:
daily <- group_by(flights, year, month, day)
(per_day <- summarise(daily, flights = n()))
## `summarise()` regrouping output by 'year', 'month' (override with `.groups` argument)
## # A tibble: 365 x 4
## # Groups: year, month [12]
## year month day flights
## <int> <int> <int> <int>
## 1 2013 1 1 842
## 2 2013 1 2 943
## 3 2013 1 3 914
## 4 2013 1 4 915
## 5 2013 1 5 720
## 6 2013 1 6 832
## 7 2013 1 7 933
## 8 2013 1 8 899
## 9 2013 1 9 902
## 10 2013 1 10 932
## # ... with 355 more rows
daily %>%
ungroup() %>% # no longer grouped by date
summarise(flights = n()) # all flights
## # A tibble: 1 x 1
## flights
## <int>
## 1 336776
#
#
#
Summarise Exercises 1. Refer back to the lists of useful mutate and filtering functions. Describe how each operation changes when you combine it with grouping. 2. Which plane (tailnum) has the worst on-time record? 3. What time of day should you fly if you want to avoid delays as much as possible? 4. For each destination, compute the total minutes of delay. 5. skipped 6. Look at each destination. Can you find flights that are suspiciously fast? + (i.e. flights that represent a potential data entry error). + Compute the air time of a flight relative to the shortest flight to that destination. Which flights were most delayed in the air? 7. Find all destinations that are flown by at least two carriers. Use that information to rank the carriers. 8. Skipped
#2. Which plane (tailnum) has the worst on-time record?
flights %>%
filter(!is.na(arr_delay)) %>%
group_by(tailnum) %>%
summarise(mean_arr_delay = mean(arr_delay, na.rm = T),
count = n()) %>%
arrange(desc(mean_arr_delay))
## `summarise()` ungrouping output (override with `.groups` argument)
## # A tibble: 4,037 x 3
## tailnum mean_arr_delay count
## <chr> <dbl> <int>
## 1 N844MH 320 1
## 2 N911DA 294 1
## 3 N922EV 276 1
## 4 N587NW 264 1
## 5 N851NW 219 1
## 6 N928DN 201 1
## 7 N7715E 188 1
## 8 N654UA 185 1
## 9 N665MQ 175. 6
## 10 N427SW 157 1
## # ... with 4,027 more rows
##########################
flights %>%
filter(!is.na(arr_delay)) %>%
group_by(tailnum) %>%
summarise(mean_arr_delay = mean(arr_delay, na.rm = T),
count = n()) %>%
filter(count > 10) %>%
arrange(desc(mean_arr_delay))
## `summarise()` ungrouping output (override with `.groups` argument)
## # A tibble: 3,397 x 3
## tailnum mean_arr_delay count
## <chr> <dbl> <int>
## 1 N337AT 66.5 13
## 2 N203FR 59.1 41
## 3 N645MQ 51 24
## 4 N956AT 47.6 34
## 5 N176DN 46.2 12
## 6 N988AT 44.3 35
## 7 N366AA 43.8 12
## 8 N184DN 43.6 16
## 9 N923FJ 43.1 12
## 10 N521VA 42.2 27
## # ... with 3,387 more rows
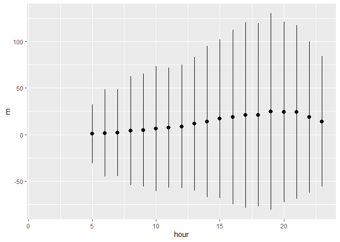
#3. What time of day should you fly if you want to avoid delays as much as possible?
library(ggplot2)
flights %>%
group_by(hour) %>%
filter(!is.na(dep_delay)) %>%
summarise(delay = mean( dep_delay > 0 , na.rm = T)) %>%
ggplot(aes(hour, delay, fill = delay)) + geom_col()
## `summarise()` ungrouping output (override with `.groups` argument)

# or
flights %>%
group_by(hour) %>%
summarize(m = mean(dep_delay, na.rm = TRUE),
sd = sd(dep_delay, na.rm = TRUE),
low_ci = m - 2*sd,
high_ci = m + 2*sd,
n = n()) %>%
ggplot(aes(hour, m, ymin = low_ci, ymax = high_ci)) +
geom_pointrange()
## `summarise()` ungrouping output (override with `.groups` argument)
## Warning: Removed 1 rows containing missing values (geom_pointrange).

#4. For each destination, compute the total minutes of delay.
flights %>%
group_by(dest) %>%
filter(!is.na(dep_delay)) %>%
summarise(tot_mins = sum(dep_delay[dep_delay > 0])) %>%
arrange(tot_mins)
## `summarise()` ungrouping output (override with `.groups` argument)
## # A tibble: 104 x 2
## dest tot_mins
## <chr> <dbl>
## 1 LEX 0
## 2 PSP 23
## 3 ANC 105
## 4 EYW 107
## 5 HDN 187
## 6 SBN 224
## 7 MTJ 254
## 8 BZN 466
## 9 JAC 607
## 10 MYR 1062
## # ... with 94 more rows
# 6. Look at each destination. Can you find flights that are suspiciously fast?
# (i.e. flights that represent a potential data entry error).
# Compute the air time of a flight relative to the shortest flight to that destination.
# Which flights were most delayed in the air?
# Compute the air time of a flight relative to the shortest flight to that destination.
flights %>%
group_by(dest) %>%
select(dest, tailnum, sched_dep_time, sched_arr_time, air_time) %>%
arrange(air_time)
## # A tibble: 336,776 x 5
## # Groups: dest [105]
## dest tailnum sched_dep_time sched_arr_time air_time
## <chr> <chr> <int> <int> <dbl>
## 1 BDL N16911 1315 1411 20
## 2 BDL N12167 527 628 20
## 3 BDL N27200 851 954 21
## 4 PHL N13913 2129 2224 21
## 5 BDL N13955 1315 1411 21
## 6 PHL N12921 2130 2225 21
## 7 BOS N947UW 1500 1608 21
## 8 PHL N8501F 1935 2056 21
## 9 BDL N12160 1329 1426 21
## 10 BDL N16987 2145 2246 21
## # ... with 336,766 more rows
# Which flights were most delayed in the air?
#7 Find all destinations that are flown by at least two carriers. Use that information to rank the carriers based on the how many location they travel from/to.
#n_distnct() https://dplyr.tidyverse.org/reference/n_distinct.html
#This is a faster and more concise equivalent of length(unique(x))
x <- sample(1:10, 500, rep = TRUE)
x
## [1] 3 3 8 3 9 4 1 9 7 4 9 10 1 10 10 8 5 9 5 1 10 1 9 2 4
## [26] 3 4 5 8 8 7 1 6 2 7 7 4 7 7 10 4 10 5 3 1 3 1 1 7 4
## [51] 3 4 7 3 7 6 4 9 8 7 5 7 6 6 9 2 9 8 5 10 8 2 7 2 5
## [76] 9 1 5 5 8 4 3 3 8 3 8 1 9 8 1 9 6 5 7 8 1 5 6 10 7
## [101] 6 4 9 10 1 5 2 8 2 7 9 2 3 5 5 5 4 6 3 4 2 1 7 5 6
## [126] 1 10 3 10 1 6 1 2 2 2 7 6 7 4 4 5 2 10 3 2 3 5 4 4 7
## [151] 8 2 5 6 7 1 2 5 1 10 8 4 9 7 1 6 5 10 10 6 6 9 10 7 1
## [176] 4 4 3 2 7 10 4 5 1 6 5 2 10 7 5 8 4 1 6 1 4 1 10 5 1
## [201] 4 7 2 2 6 9 1 2 4 2 4 10 3 4 3 9 8 1 8 10 7 9 6 5 6
## [226] 10 6 3 8 9 9 5 6 7 6 9 2 7 8 1 5 4 4 2 1 1 2 9 8 1
## [251] 7 9 8 6 3 4 3 9 9 10 3 8 9 7 5 8 1 10 4 3 9 2 7 2 4
## [276] 6 5 1 10 3 5 3 6 3 2 1 8 1 1 8 8 3 5 5 5 3 10 3 10 8
## [301] 4 5 4 4 10 1 4 8 6 10 2 10 8 9 7 8 4 9 4 7 10 2 4 9 9
## [326] 9 7 1 10 9 10 10 7 5 6 6 1 8 5 7 1 6 1 9 1 2 2 9 6 8
## [351] 3 5 10 9 7 3 7 4 6 7 8 6 9 8 9 2 3 10 10 1 7 3 5 10 9
## [376] 6 9 1 10 9 3 6 10 3 7 5 4 9 5 5 1 10 6 5 9 8 9 5 10 2
## [401] 4 3 4 6 6 7 7 10 1 8 2 2 10 5 2 1 2 3 3 1 1 5 7 9 6
## [426] 1 4 3 10 4 10 10 7 9 2 5 2 8 9 9 10 6 4 6 1 4 3 8 5 8
## [451] 2 6 8 4 9 10 5 1 10 1 7 1 8 7 8 1 8 5 1 8 7 10 8 8 6
## [476] 5 2 6 3 6 3 8 4 4 7 2 3 3 3 7 2 1 7 2 1 1 5 8 4 6
n_distinct(x)
## [1] 10
#numbers of location per carrier
flights %>%
group_by(dest) %>%
filter(n_distinct(carrier) > 2) %>%
group_by(carrier) %>%
summarise(n = n_distinct(dest)) %>%
arrange(desc(n))
## `summarise()` ungrouping output (override with `.groups` argument)
## # A tibble: 15 x 2
## carrier n
## <chr> <int>
## 1 DL 37
## 2 EV 36
## 3 UA 36
## 4 9E 35
## 5 B6 30
## 6 AA 17
## 7 MQ 17
## 8 WN 9
## 9 OO 5
## 10 US 5
## 11 VX 3
## 12 YV 3
## 13 FL 2
## 14 AS 1
## 15 F9 1
flights %>%
filter(carrier == "DL") %>%
group_by(dest) %>%
summarise(n = n_distinct(dest))
## `summarise()` ungrouping output (override with `.groups` argument)
## # A tibble: 40 x 2
## dest n
## <chr> <int>
## 1 ATL 1
## 2 AUS 1
## 3 BNA 1
## 4 BOS 1
## 5 BUF 1
## 6 CVG 1
## 7 DCA 1
## 8 DEN 1
## 9 DTW 1
## 10 EYW 1
## # ... with 30 more rows